计算技巧及方法总结
一、一般来说,对于二阶、三阶行列式,可以根据定义来做
1、二阶行列式

2、三阶行列式
=
例1计算三阶行列式
解 








但是对于四阶或者以上的行列式,不建议采用定义,最常采用的是行列式的性质以及降价法来做。但在此之前需要记忆一些常见行列式形式。以便计算。
计算上三角形行列式
下三角形行列式 

对角行列式 
二、用行列式的性质计算
1、记住性质,这是计算行列式的前提
将行列式
的行与列互换后得到的行列式,称为
的转置行列式,记为
或
,即若
则
.
性质1 行列式与它的转置行列式相等, 即
注 由性质1知道,行列式中的行与列具有相同的地位,行列式的行具有的性质,它的列也同样具有.
性质2 交换行列式的两行(列),行列式变号.
推论 若行列式中有两行(列)的对应元素相同,则此行列式为零.
性质3 用数
乘行列式的某一行(列), 等于用数
乘此行列式, 即

第
行(列)乘以
,记为
(或
).
推论1 行列式的某一行(列)中所有元素的公因子可以提到行列式符号的外面.
推论2 行列式中若有两行(列)元素成比例,则此行列式为零.
性质4 若行列式的某一行(列)的元素都是两数之和, 例如,
.
则
.
性质5 将行列式的某一行(列)的所有元素都乘以数
后加到另一行(列)对应位置的元素上, 行列式不变.
注: 以数
乘第
行加到第
行上,记作
; 以数
乘第
列加到第
列上,记作
.
2、利用“三角化”计算行列式
计算行列式时,常用行列式的性质,把它化为三角形行列式来计算. 例如化为上三角形行列式的步骤是:
如果第一列第一个元素为0, 先将第一行与其它行交换使得第一列第一个元素不为0; 然后把第一行分别乘以适当的数加到其它各行,使得第一列除第一个元素外其余元素全为0;
再用同样的方法处理除去第一行和第一列后余下的低一阶行列式,如此继续下去,直至使它成为上三角形行列式,这时主对角线上元素的乘积就是所求行列式的值.
例2若
, 则
例3(1)
(第一、二行互换).
(2)
(第二、
三列互换)
(3)
(第一、二两行相等)
(4)
(第二、三列相等)
例4(1)
因为第三行是第一行的
倍.
(2)
因为第一列与第二列成比例,即第二列是第一列的4倍.
例5若
, 则
又
.
例6 设
求
解 利用行列式性质,有







例7(1)
(2)
.
例8 因为
而
.
因此
.
注: 一般来说下式是不成立的
.
例9(1)
,上式表示第一行乘以-1后加第二行上去, 其值不变.
(2)
,上式表示第一列乘以1后加到第三列上去, 其值不变.
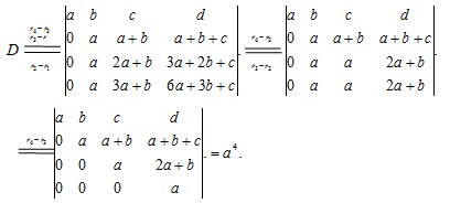
例10计算行列式
.
解 先将第一行的公因子3提出来:

再计算

例11 计算

例12计算
解 注意到行列式的各列4个数之和都是6.故把第2,3,4行同时加到第1行,可提出公因子6,再由各行减去第一行化为上三角形行列式.

注:仿照上述方法可得到更一般的结果:

例13 计算 
解 根据行列式的特点,可将第1列加至第2列,然后将第2列加至第3列,再将第3列加至第4列,目的是使
中的零元素增多.

例14 计算
解 从第4行开始,后一行减前一行:

三、 行列式按行(列)展开(降阶法)
1、行列式按一行(列)展开
定义1 在
阶行列式
中,去掉元素
所在的第
行和第
列后,余下的
阶行列式,称为
中元素
的余子式, 记为
, 再记

称
为元素
的代数余子式.
引理(常用) 一个n阶行列式D , 若其中第i行所有元素除
外都为零,则该行列式等于
与它的代数余子式的乘积,即

定理1 行列式等于它的任一行(列)的各元素与其对应的代数余子式乘积之和, 即

或 
推论 行列式某一行(列)的元素与另一行(列)的对应元素的代数余子式乘积之和等于零, 即

或 
2、用降价法计算行列式(常用)
直接应用按行(列)展开法则计算行列式, 运算量较大, 尤其是高阶行列式. 因此, 计算行列式时,一般可先用行列式的性质将行列式中某一行(列)化为仅含有一个非零元素, 再按此行(列)展开,化为低一阶的行列式, 如此继续下去直到化为三阶或二阶行列式.
3、拉普拉斯定理(一般少用)
定义2 在
阶行列式
中,任意选定
行
列
, 位于这些行和列交叉处的
个元素,按原来顺序构成一个
阶行列式
, 称为
的一个
阶子式,划去这
行
列, 余下的元素按原来的顺序构成
阶行列式,在其前面冠以符号
,称为
的代数余子式,其中
为
阶子式
在
中的行标,
为
在
中的列标.
注:行列式
的
阶子式与其代数余子式之间有类似行列式按行(列)展开的性质.
定理2 (拉普拉斯定理) 在
阶行列式
中, 任意取定
行(列)
,由这
行(列)组成的所有
阶子式与它们的代数余子式的乘积之和等于行列式
.
例15求下列行列式的值:
(1)
(2)
解 (1) 

(2) 
例16计算行列式 



例17计算行列式 
解 


例18求证
.



例19设
D中元素
的余子式和代数余子式依次记作
和
,求
及
.
解 注意到
等于用
代替
的第1行所得的行列式,即

例20 用拉普拉斯定理求行列式
的值.
解 按第一行和第二行展开






第二篇:行列式计算技巧
论行列式的计算方法
方法1 化三角形法
化三角形法是将原行列式化为上(下)三角形行列式或对角形行列式计算的一种方法。这是计算行列式的基本方法重要方法之一。因为利用行列式的定义容易求得上(下)三角形行列式或对角形行列式的性质将行列式化为三角形行列式计算。因此,在许多情况下,总是先利用行列式的性质将其作为某种保值变形,再将其化为三角形行列式。
例1:浙江大学20##年攻读硕士研究生入学考试试题第一大题第2小题(重庆大学20##年攻读硕士研究生入学考试试题第三大题第1小题)的解答中需要计算如下行列式的值:

[分析]显然若直接化为三角形行列式,计算很繁,所以我们要充分利用行列式的性质。注意到从第1列开始;每一列与它一列中有n-1个数是差1的,根据行列式的性质,先从第n-1列开始乘以-1加到第n列,第n-2列乘以-1加到第n-1列,一直到第一列乘以-1加到第2列。然后把第1行乘以-1加到各行去,再将其化为三角形行列式,计算就简单多了。
解:

[问题推广]
循环行列式
从而推广到一般,求下列行列式:

解:令 
首先注意,若u为n次单位根(即un=1),则有:



为范德蒙行列式

又例1中,循环的方向与该推广在方向上相反
所以例1与

相对应





。
方法2 按行(列)展开法(降阶法)
设
为
阶行列式,根据行列式的按行(列)展开定理有

或 
其中
为
中的元素
的代数余子式
按行(列)展开法可以将一个n阶行列式化为n个n-1阶行列式计算。若继续使用按行(列)展开法,可以将n阶行列式降阶直至化为许多个2阶行列式计算,这是计算行列式的又一基本方法。但一般情况下,按行(列)展开并不能减少计算量,仅当行列式中某一行(列)含有较多零元素时,它才能发挥真正的作用。因此,应用按行(列)展开法时,应利用行列式的性质将某一行(列)化为有较多的零元素,再按该行(列)展开。
例2,计算20阶行列式

[分析]这个行列式中没有一个零元素,若直接应用按行(列)展开法逐次降阶直至化许许多多个2阶行列式计算,需进行20!*20-1次加减法和乘法运算,这人根本是无法完成的,更何况是n阶。但若利用行列式的性质将其化为有很多零元素,则很快就可算出结果。
注意到此行列式的相邻两列(行)的对应元素仅差1,因此,可按下述方法计算:
解:

方法3 递推法
应用行列式的性质,把一个n阶行列式表示为具有相同结构的较低阶行列式(比如,n-1阶或n-1阶与n-2阶等)的线性关系式,这种关系式称为递推关系式。根据递推关系式及某个低阶初始行列式(比如二阶或一阶行列式)的值,便可递推求得所给n阶行列式的值,这种计算行列式的方法称为递推法。
例3,20##年福州大学研究生入学考试试题第二大题第10小题要证如下行列式等式:


[分析]此行列式的特点是:除主对角线及其上下两条对角线的元素外,其余的元素都为零,这种行列式称“三对角”行列式[1]。从行列式的左上方往右下方看,即知Dn-1与Dn具有相同的结构。因此可考虑利用递推关系式计算。
证明:Dn按第1列展开,再将展开后的第二项中n-1阶行列式按第一行展开有:

这是由Dn-1 和Dn-2表示Dn的递推关系式。若由上面的递推关系式从n阶逐阶往低阶递推,计算较繁,注意到上面的递推关系式是由n-1阶和n-2阶行列式表示n阶行列式,因此,可考虑将其变形为:

或 
现可反复用低阶代替高阶,有:

同样有:

因此当
时
由(1)(2)式可解得:
方法4 加边法(升阶法)
有时为了计算行列式,特意把原行列式加上一行一列再进行计算,这种计算行列式的方法称为加边法或升阶法。当然,加边后必须是保值的,而且要使所得的高一阶行列式较易计算。要根据需要和原行列式的特点选取所加的行和列。加法适用于某一行(列)有一个相同的字母外,也可用于其列(行)的元素分别为n-1个元素的倍数的情况。
加边法的一般做法是:

特殊情况取
或 
例4、计算n 阶行列式:

[分析] 我们先把主对角线的数都减1,这样我们就可明显地看出第一行为x1与x1,x2,…, xn相乘,第二行为x2与x1,x2,…, xn相乘,……,第n行为xn与 x1,x2,…, xn相乘。这样就知道了该行列式每行有相同的因子x1,x2,…, xn,从而就可考虑此法。
解:

方法5 拆行(列)法
由行列式拆项性质知,将已知行列式拆成若干个行列式之积,计算其值,再得原行列式值,此法称为拆行(列)法。
由行列式的性质知道,若行列式的某行(列)的元素都是两个数之和,则该行列式可拆成两个行列式的和,这两个行列式的某行(列)分别以这两数之一为该行(列)的元素,而其他各行(列)的元素与原行列式的对应行(列)相同,利用行列式的这一性质,有时较容易求得行列式的值。
例5、 南开大学20##年研究生入学考试题第1大题,要求下列行列式的值:
设n阶行列式:

且满足
对任意数b,求n阶行列式

[分析]该行列式的每个元素都是由两个数的和组成,且其中有一个数是b,显然用拆行(列)法。
解:











也为反对称矩阵
又
为
的元素

从而知:
方法6 数学归纳法
一般是利用不完全归纳法寻找出行列式的猜想值,再用数学归纳法给出猜想的证明。因此,数学归纳法一般是用来证明行列式等式。因为给定一个行列式,要猜想其值是比较难的,所以是先给定其值,然后再去证明。
例6.证明:

证:当
时,有:

结论显然成立。
现假定结论对小于等于
时成立。
即有:

将
按第1列展开,得:
故当对
时,等式也成立。
得证。
方法7 析因法
如果行列式D中有一些元素是变数x(或某个参变数)的多项式,那么可以将行列式D当作一个多项式f(x),然后对行列式施行某些变换,求出f(x)的互素的一次因式,使得f(x)与这些因式的乘积g(x)只相差一个常数因子C,根据多项式相等的定义,比较f(x)与g(x)的某一项的系数,求出C值,便可求得D=Cg(x) 。
那在什么情况下才能用呢?要看行列式中的两行(其中含变数x),若x等于某一数a1时,使得两行相同,根据行列式的性质,可使得D=0。那么x
a1便是一个一次因式,再找其他的互异数使得D=0,即得到与D阶数相同的互素一次因式,那么便可用此法。
例7.兰州大学2004招收攻读硕士研究生考试工试题第四大题第(1)小题。需求如下行列式的值。

[分析] 根据该行列式的特点,当
时,有
。但大家认真看一下,该行列式Dn+1是一个n+1次多项式,而这时我们只找出了n个一次因式
,那么能否用析因法呢?我们再仔细看一下,每行的元素的和数都是一样的,为:
,那么我们从第2列开始到第n+1列都加到第1列,现提出公因式
,这样行列式的次数就降了一次。从而再考虑析因法。
解:

令:

显然当:
时,
。
又
为n次多项式。

又
中
的最高次项为
,系数为1,
C=1

因此得:

方法8.辅助行列式法
辅助行列式法应用条件:行列式各行(列)和相等,且除对角线外其余元素都相同。
解题程序:
1)在行列式D的各元素中加上一个相同的元素x,使新行列式
除主对角线外,其余元素均为0;
2)计算
的主对角线各元素的代数余子式
;
3)
例8.大连理工大学20##年硕士生入学考试《高等代数》试题,第一大题填空题第2小题需求下列n阶行列式的值。

解:在
的各元素上加上
后,则有:

又
,其余的为零。

方法9 利用拉普拉斯定理
拉普拉斯定理的四种特殊情形:[1][5]
1)
2)
3)
4)
例9 计算n阶行列式:[1]

解:

方法 10 .利用范德蒙行列式
范德蒙行列式:

例10 计算n阶行列式[9]


解:显然该题与范德蒙行列式很相似,但还是有所不同,所以先利用行列式的性质把它化为范德蒙行列式的类型。
先将的第n行依次与第n-1行,n-2行,…,2行,1行对换,再将得到到的新的行列式的第n行与第n-1行,n-2行,…,2行对换,继续仿此作法,直到最后将第n行与第n-1行对换,这样,共经过(n-1)+(n-2)+…+2+1=n(n-1)/2次行对换后,得到

上式右端的行列式已是范德蒙行列式,故利用范德蒙行列式的结果得:

方法11 利用矩阵行列式公式
引理:设A为
型矩阵,B为
型矩阵,
,
分别表示n阶,m阶单位矩阵,则有
[5]
先引入一个证明题:[1]
设A,B分别是
和
矩阵,
,证明:
证明:
两边取行列式得:


又
同样两边取行列式有:
得证。
那么对于
分别是
和
矩阵,
能否得到:

答案是肯定的。
证:
有:
又 


即得:对
分别为
和
矩阵,
时,有:

则当
时,有:
引理得证。
例11.20##年全国硕士研究生入学考试数学试卷三第九题的解答中需要计算如下行列式的值。

解:令矩阵
则可得:


其中 
那么根据上面所提到的引理可得:

又 
可得:
方法12 利用方阵特征值与行列式的关系。
也以例11为例
解:

显然
的
个特征值为
。
的
个特征值为
。
故
的特征值为
由矩阵特征值与对应行列式的关系知:
[注]
的特征值也可由特征值的定义得到。
本题行列式比较特殊,可以用到此方法,对于其他的行列式,本方法一般不适用
问题的推广
例11中,主对角线上的元素为
,那么我们使得主对角线上的元素为
,
个任意数,可得下列一般的行列式:


[分析]上面我们已经介绍了多种方法,根据这题行列式的特点,每行都有相同的因子
,所以本题适用加边法。(本题有多种解法,据上分析,仅以加边法推出。)
解:



特别地,当
时 
与例11的答案一致。