求数列
通项公式的方法
1、 不完全归纳法:
(1)
(2)
(3)
2、累加法:
已知数列
中,
求数列
的通项公式。
3、 累乘法:
已知数列
中,
求数列
的通项公式。
4、 公式法:数列
与前
项和
的关系:
注意:一定不要忘记对
取值的讨论!最后,还应检验当
的情况是否符合当
的关系式,从而决定能否将其合并。
(1)
(2)
第二篇:根据递推公式,求数列通项公式的常用方法 总结归纳
求递推数列通项公式的常用方法归纳
目录
一、概述 ··································
二、等差数列通项公式和前n项和公式 ··································
1、等差数列通项公式的推导过程 ································
2、等差数列前n项和公式的推导过程 ··································
三、一般的递推数列通项公式的常用方法 ··································
1、公式法 ··································
2、归纳猜想法 ··································
3、累加法 ··································
4、累乘法 ··································
5、构造新函数法(待定系数法) ··································
6、倒数变换法 ··································
7、特征根法 ··································
8、不动点法 ·································
9、换元法 ·································
10、取对数法 ··································
11、周期法 ··································
一、概述
在高中数学课程内容中,数列作为离散函数的典型代表之一,不仅在高中数学中具有重要位置,而且,在现实生活中有着非常广泛的作用,同时,数列的教学也是培养观察、分析、归纳、猜想、逻辑推理以及运用数学知识提出问题、分析问题和解决问题的必不可少的重要途径。
数列这一章蕴含着多种数学思想及方法,如函数思想、方程思想,而且在基本概念、公式的教学本身也包含着丰富的数学方法,掌握这些思想方法不仅可以增进对数列概念、公式的理解,而且运用数学思想方法解决问题的过程,往往能诱发知识的迁移,使学生产生举一反三、融会贯通的解决多数列问题。在这一章主要用到了以下几中数学方法:
1、不完全归纳法 不完全归纳法不但可以培养学生的数学直观,而且可以帮助学生有效的解决问题,在等差数列以及等比数列通项公式推导的过程就用到了不完全归纳法。
2、倒叙相加法 等差数列前n项和公式的推导过程中,就根据等差数列的特点,很好的应用了倒叙相加法,而且在这一章的很多问题都直接或间接地用到了这种方法。
3、错位相减法 错位相减法是另一类数列求和的方法,它主要应用于求和的项之间通过一定的变形可以相互转化,并且是多个数求和的问题。等比数列的前 n 项和公式的推导就用到了这种思想方法。
4、函数的思想方法 数列本身就是一个特殊的函数,而且是离散的函数,因此在解题过程中,尤其在遇到等差数列与等比数列这两类特殊的数列时,可以将它们看成一个函数,进而运用函数的性质和特点来解决问题。
5、方程的思想方法 数列这一章涉及了多个关于首项、末项、项数、公差、公比、第 n 项和前 n 项和这些量的数学公式,而公式本身就是一个等式,因此,在求这些数学量的过程中,可将它们看成相应的已知量和未知数,通过公式建立关于求未知量的方程,可以使解题变得清晰、明了,而且简化了解题过程。
二、 等差数列通项公式和前n项和公式
第一节:等差数列前n项和的推导过程
1、等差数列通项公式:
(1)可以从等差数列特点及定义来引入。
定义:n≥2时,有an-a(n-1)=d,则:
a2=a1+d
a3=a2+d=a1+2d
a4=a3+d=a1+3d
a5=a4+d=a1+4d
……
猜测并写出an=?
(2)采取累加
a2-a1=d
a3-a2=d
a4-a3=d
……
an-a(n-1)=d
累加后,有:
an-a1=(n-1)d,即:
an=a1+(n-1)d。
2、等差数列前n项和:
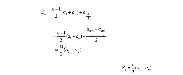
方法一:高斯算法(即首尾相加法)
1 + 2 + 3 +…+50+51+…+98+99+100=?
1+100=101,2+99=101,…,50+51=101,所以原式=50
(1+101)=5050
则利用高斯算法,容易进行类比,过程如下:
其中
这里用到了等差数列的性质:
问题是一共有多少个 ,学生自然想到对n取奇偶进行讨论。
(1)当n为偶数时:
(2)当n为奇数时:
分析到这里发现
“落单”了,似乎遇到了阻碍,此时鼓励学生不能放弃,在老师的适当引导下,不难发现,
的角标与 角标的关系
从而得到,无论n取奇数还是偶数,
总结:(1)类比高斯算法将首尾分组进行“配对”,发现需要对n取奇偶进行讨论,思路自然,容易掌握。
(2)不少资料对n取奇数时的处理办法是,当讨论进行不下去时转向寻求其它解决办法,进而引出倒序相加求和法。
方法二: 对n的奇偶进行讨论有点麻烦,能否回避对n的讨论呢?接下来给出实际问题:
伐木工人是如何快速计算堆放在木场的木头根数呢?由此引入倒序相加求和法。
两式相加得:
总结:(1)数学学习需要最优化的学习,因此引导学生去寻求更有效的解决办法,让学生在解决问题的同时也体会到同一个问题有不同的解决办法,而我们需要的是具备高效率的方法。
(2)倒序相加求和法是重要的数学思想,方法比公式本身更为重要,为以后数列求和的学习做好了铺垫。
(3)在过程中体会数学的对称美。
三、 一般的递推数列通项公式的常用方法
一、公式法
例1、 已知无穷数列
的前
项和为
,并且
,求
的通项公式?
【解析】:
,
,
,又
,
.
反思:利用相关数列
与
的关系:
,
与提设条件,建立递推关系,是本题求解的关键.
二、归纳猜想法:由数列前几项用不完全归纳猜测出数列的通项公式,再利用数学归纳法证明其正确性,这种方法叫归纳法.
例2、 已知数列
中,
,
,求数列
的通项公式.
【解析】:
,
,

,


猜测
,再用数学归纳法证明.(略)
反思:用归纳法求递推数列,首先要熟悉一般数列的通项公式,再就是一定要用数学归纳法证明其正确性.
三 、累加法:利用
求通项公式的方法称为累加法。累加法是求型如
的递推数列通项公式的基本方法(
可求前
项和).
例3 、已知无穷数列
的的通项公式是
,若数列
满足
,
,求数列
的通项公式.
【解析】:
,
,
=1+
+...+
=
.
反思:用累加法求通项公式的关键是将递推公式变形为
。
四 、累乘法:利用恒等式
求通项公式的方法称为累乘法,累乘法是求型如:
的递推数列通项公式的基本方法(数列
可求前
项积)。
例4、 已知
,
,求数列
通项公式.
【解析】:
,
,又有
=
1×
=
,当
时
,满足
,
.
反思: 用累乘法求通项公式的关键是将递推公式变形为
.
五、构造新数列(待定系数法): 将递推公式
(
为常数,
,
)通过
与原递推公式恒等变成
的方法叫构造新数列,也即是待定系数法。
例5、已知数列
中,
,
,求
的通项公式.
【解析】:利用
,求得
,
是首项为
,公比为2的等比数列,即
,
反思:构造新数列的实质是通过
来构造一个我们所熟知的等差或等比数列.
六 、倒数变换:将递推数列
,取倒数变成
的形式的方法叫倒数变换。然后就转变为第五种情况,此时将数列
看成一个新的数列,即再利用“构造新数列”的方法求解。
例6、 已知数列
中,
,
,求数列
的通项公式.
【解析】:将
取倒数得:
,
,
是以
为首项,公差为2的等差数列.
,
.
反思:倒数变换有两个要点需要注意:一是取倒数.二是一定要注意新数列的首项,公差或公比变化了。
七、特征根法:形如递推公式为
(其中p,q均为常数)。
对于由递推公式
,有
给出的数列
,方程
,叫做数列
的特征方程。
若
是特征方程的两个根,
当
时,数列
的通项为
,其中A,B由
决定(即把
和
,代入
,得到关于A、B的方程组);
当
时,数列
的通项为
,其中A,B由
决定(即把
和
,代入
,得到关于A、B的方程组)。
例7: 数列
满足
,
,求
【解析】:由题可知数列的特征方程是:
。
,


。又由
,于是
故
反思:本题解题的关键是先求出特征方程的根。再由初始值确定出A,B的用已知量a,b表示的值,从而可得数列
的通项公式。
八、不动点法
若A,B
且AD-BC
,解
,设
为其两根
I、若
,数列
是等比数列;
II、若
,数列
是等差数列。
例8、已知数列
满足
,求数列
的通项公式。
【解析】:令
,得
,则x=1是函数
的不动点。
因为 
所以 
, 所以 数列
是以
为首项,以
为公差的等差数列,则
,故
。
反思:本题解题的关键是先求出函数
的不动点,即方程
的根
,进而可推出
,从而可知数列
为等差数列,再求出数列
的通项公式,最后求出数列
的通项公式。
九、换元法 即是将一复杂的整体用一个新的符号来表示,从而使递推数列看起来更简单,更易找到解决的方法。
例9、 已知数列
满足
,求数列
的通项公式。
【解析】:令
,则
故
代入
得

即
因为
,故
则
,即
,
可化为
,
所以
是以
为首项,以
为公比的等比数列,因此
,则
+3,即
,得
。
反思:本题解题的关键是通过将
的换元为
,使得所给递推关系式转化
形式,从而可知数列
为等比数列,进而求出数列
的通项公式,最后再求出数列
的通项公式。
十、取对数法:形如

这种类型一般是等式两边取对数后转化为
,再利用构造新数列(待定系数法)求解。
例10:已知数列{
}中,
,求数列
。
【解析】:由
两边取对数得
,
令
,则
,再利用构造新数列(待定系数法)解得:
。
十一、周期型: 由已知递推式计算出前几项,寻找周期。此题型一般是在不能运用以上各种方法的情况下可考虑到这种方法,具有一定的探索性,虽然比较简单,但也是一种很重要的数学思想,需要好好掌握。
例11:若数列
满足
,若
,则
的值为___________。
反思:此题的关键在于观察递推数列的形式,取一些特定的n的值,求出数列的前几项的值,从而找到其周期,这样问题就迎刃而解了。